Piezo Hannas (WuHan) Tech Co, .Ltd. Proveedor profesional de elementos piezocerámicos
Noticia
Usted está aquí: Hogar / Noticias / Conceptos básicos de cerámica piezoeléctrica. / Modo de vibración de flexión del vibrador de cerámica piezoeléctrica

Modo de vibración de flexión del vibrador de cerámica piezoeléctrica

Vistas:0     Autor:Editor del sitio     Hora de publicación: 2018-10-30      Origen:Sitio

Preguntar

facebook sharing button
twitter sharing button
line sharing button
wechat sharing button
linkedin sharing button
pinterest sharing button
whatsapp sharing button
sharethis sharing button

Si dos gruesos PZT5 Material Piezo DiscosLas hojas que tienen el mismo espesor y los electrodos polarizados se unen juntos, cuando un campo eléctrico emocionante aplicado externamente puede alargar una de las hojas y la otra pieza se acorta, se puede generar la vibración de flexión. Para las sábanas unidas en las direcciones opuestas de la polarización, la potencia está conectada en serie, y las hojas unidas en la misma dirección de polarización están conectadas en paralelo a la fuente de alimentación. Cuando el electrodo superior del voltaje aplicado es positivo y el electrodo inferior es negativo, el campo eléctrico aplicado de la lámina superior está opuesta a la dirección de polarización, la lámina se alarga, la dirección de polarización de la hoja inferior es la misma que la dirección. del campo eléctrico aplicado, y la lámina se acorta para producir una forma curvada convexa; Luego se produce una curva cóncava. Cuando se aplica un campo eléctrico alterno, se genera la vibración de flexión.


Al doblar la vibración de la parte superior es ser alargada (acortada), la parte inferior deCableado de discos piezocerámicosse acorta (alargado), y debe haber una superficie que no sea ni alargada ni acortada en el medio. Para una lámina del mismo espesor, este lado es la superficie de unión. En la superficie adhesiva no se estira y se acorta, hay dos puntos A y B que permanecen estacionarios durante la vibración. Estos dos puntos se llaman nodos. En las dos hojas de adhesivo, el campo eléctrico solo excita a uno de ellos para generar vibraciones de flexión. De manera similar, si dos hojas cerámicas piezoeléctricas están unidas a una lámina de metal delgada, o una lámina de cerámica piezo se une a una lámina delgada de metal, se puede generar la vibración de flexión.


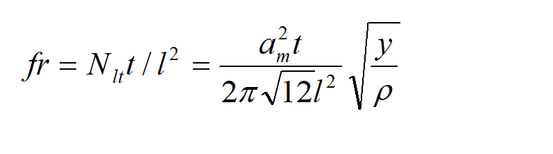
La relación entre la frecuencia resonante del modo de vibración de doblado de espesor y la longitud de la película y el grosor total de la hoja adjunta es:


Dgif680 @ 5 @ e}% 'j4y5 (4i8v





Aquí, la constante de frecuencia, que es el coeficiente relacionado con el número de onda, y es el módulo de los jóvenes, y ρ es la densidad cerámica piezo. El ancho de banda relativo de la vibración de flexión del espesor de la tira es de 0.25-3%, y el rango de frecuencia aplicable es de 500 Hz a 20 kHz. El tamaño de tales vibradores es generalmente: L = (6 ~ 10) W, W≥3.5T.


Segundo, el ancho de la tira que dobla el modo de vibración:


Dividiendo el electrodo, una sola pieza de cerámica deTransductor ultrasónico piezoeléctricose puede someter a la vibración de doblando en la dirección de ancho (o un modo de vibración de flexión), y el electrodo se divide en dos partes a lo largo de la línea central de los electrodos de los dos lados de la pieza de cerámica larga, que es equivalente a dos Las hojas de cerámica piezoeléctricas de ultrasonido están unidas. Si se aplica un campo eléctrico alterno a los pares divididos de electrodos, se puede generar la vibración de flexión en la dirección de ancho. Dado que el electrodo de superficie de una pieza de cerámica piezo se divide en dos pares de electrodos, hay dos formas de emocionar la vibración de flexión:



95i] 80 [3b {wm5i @@ z% xu @ b8

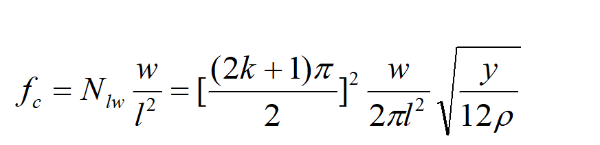
Frecuencia de resonancia de ancho de tira larga Modo de vibración de flexión:



Iovef4% yoeeqg @ 5xg8)) kj




w es el ancho de la hoja de cerámica; l es la longitud de la lámina de cerámica; y es el módulo de los jóvenes; k es el número de onda; ρ es la densidad de la cerámica.
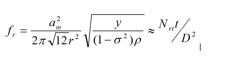
Tercero, el grosor del modo de vibración de flexión del disco:
Si las dos obleas en el modo de vibración radial están unidas entre sí y polarizadas y se excitan de la misma manera que las tiras largas, se obtiene la vibración de espesor de la oblea. La frecuencia resonante de esta vibración de flexión es


UOX6UZ0YA59H5T] $ 7FA6HPK




Modo de vibración de cizallamiento de espesor:


El modo de vibración de cizallamiento de grosor de la recogida de disco de piezoeléctrico ultrasónico se caracteriza porque las caras del electrodo son paralelas a la dirección de polarización. Bajo la acción de un campo eléctrico alterno, la lámina de cerámica PIZO produce una vibración de cizallamiento de espesor. Esta vibración es la deformación deslizante relativa a lo largo de la longitud y las direcciones de grosor de las dos superficies opuestas del cuerpo piezoeléctrico paralelo a la dirección de la polarización. La partícula se desplaza a lo largo de las direcciones de longitud y grosor, mientras que la onda se propaga a lo largo del grosor. La frecuencia resonante del modo de vibración de cizallamiento de espesor es


[Q} JJ {] RD $ D2 @ (] XEO {9I7

Modo de vibración de la trampa:


Cuando el área de electrodo de los materiales piezocerámicos, los discos piezoeléctricos es pequeño en relación con el área de la lámina de cerámica, un área de electrodo adecuada y su carga de masa metálica puede causar un llamado fenómeno de atrapamiento. Después de que se produce la trampa, la energía de excitación se limita por debajo del electrodo del punto y se desintegra de manera exponencial. En este punto, el área del electrodo del punto y el borde cercano forman un sistema de vibración independiente. La vibración de atrapamiento es en realidad una vibración de estiramiento de espesor. Dado que el electrodo de este vibrador es pequeño, también se denomina vibrador de puntos o un vibrador de electrodo de punto. La frecuencia resonante fundamental de este oscilador es


O% rr @ 5} r [y0jg_2y $ ti] z5


Modos de vibración comunes y características relacionadas:


Q2O5U {YUFZNYL $ BW1SXV4E









Tecnología piezoeléctrica Co de Hannas (WuHan). El Ltd es fabricante de equipamiento ultrasónico profesional, dedicado a la tecnología ultrasónica y a las aplicaciones industriales.                                    
 

RECOMENDAR

CONTÁCTENOS

Agregar: No.456 Wu Luo Road, distrito de Wuchang, ciudad de Wuhan, provincia de HuBei, China.
Email:  sales@piezohannas.com
Teléfono: +86 27 81708689        
Teléfono: +86 15927286589          
QQ: 1553242848 
Skype: live:mary_14398
       
Copyright 2017 Piezo Hannas (WuHan) Tech Co, .Ltd. Todos los derechos reservados.
Productos